
Exhibition sound level
|
Nyquist Team
Have you ever wondered how to compare the noise of a passing fighter jet with the long passage of a train? The exposure level of sound brings these phenomena to a common denominator.
Professional Definition
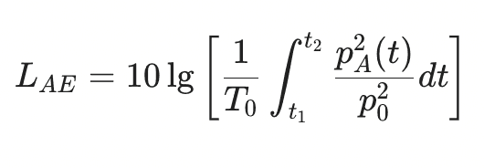
> Sound Exposure Level (LAEL_{AE}LAE
) is the A-weighted sound level of a single acoustic event normalized to the reference time T0=1T_0 = 1T0=1
seconds.
Also known as SEL (Sound Exposure Level), it represents the total energy of an event compressed into one second.
## Acoustics in Simple Words
Imagine noise as water. SEL does not ask how quickly you poured the water, but how much water was poured out of the bucket in total. This allows for a comparison between the explosion of a firecracker and the slow passage of an airplane.
## Summary
This is a key parameter in assessing the nuisance of transportation noise.
See also
Follow us on Instagram
Office / Showroom
Production / Warehouse
Let's do something together
Use the form - we will respond as soon as possible!

